Spin glass effects and nonexistence of a ferromagnetic quantum critical point...
- 15
- Dec
- 2025
Spin glass effects and nonexistence of a ferromagnetic quantum critical point
in the compositionally tuned FeGa3−xGex metallic quantum ferromagnets (x = 0.0 − 0.16)
Stanislav Vrtnik1,2, Primož Koželj1,2, Magdalena Wencka1,3, Kristian Bader4, Julia Petrović1, Jože Luzar1,
Peter Mihor1, Andreja Jelen1, Peter Gille4, and Janez Dolinšek1,2*
1Jožef Stefan Institute, Jamova 39, SI-1000 Ljubljana, Slovenia
2Faculty of Mathematics and Physics, University of Ljubljana, Jadranska 19, SI-1000 Ljubljana, Slovenia
3Institute of Molecular Physics, Polish Academy of Sciences, Smoluchowskiego 17, PL-60-179 Poznań, Poland
4Department of Earth and Environmental Sciences, Crystallography Section, Ludwig-Maximilians-Universität München,
Theresienstrasse 41, D-80333 München, Germany
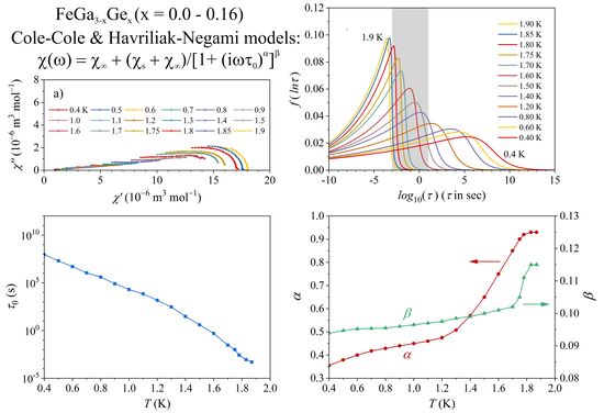
Searching for a ferromagnetic (FM) quantum critical point of a compositionally tuned system, we have investigated experimentally the quantum phase transition (QPT) in the FeGa3−xGex (x = 0.0 − 0.16) metallic quantum ferromagnet, by using crystallographically oriented single-crystalline samples with the Ge contents x below and within the quantum critical regime. Performing the measurements of dc and ac magnetic susceptibility and M(H) curves down to the temperature of 0.4 K in low magnetic fields 0.01–25 mT, and the measurements of electrical resistivity and specific heat down to 0.35 K, we found that there is no direct, continuous transition from the paramagnetic to the FM state and consequently no FM quantum critical point in the compositional phase diagram, but the QPT involves an intermediate canonical spin glass (SG) state at x ≈ 0.12–0.16. The compositional region of the SG state is narrow, it is formed at low temperatures (the spin freezing temperatures are in the range 1.1–1.8 K) and the coupling between the spins is weak, so that the SG ordering is fragile with respect to the external magnetic field. The analysis of the ac susceptibility via the Cole-Cole diagrams in the QPT region has revealed that the slowing-down spin dynamics of the SG state remains thermally activated down to the lowest investigated temperature of 0.4 K, so that the regime of quantum fluctuations is not yet entered. The employed experimental conditions have enabled us to follow the formation of fragile magnetic ordering in the FeGa3−xGex compositionally tuned system in its infancy state.
